728x90
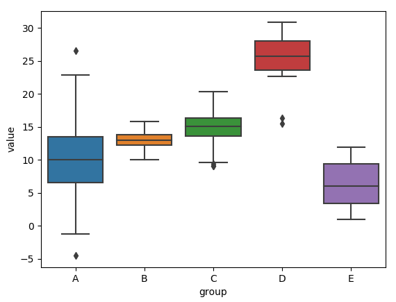
중앙값, 제1사분위수, 제2사분위수, 제3사분위수와 두 극단값(최댓값, 최솟값)을 시각적으로 표현한 그래프이다.
import matplotlib.pyplot as plt
import seaborn as sns
import pandas as pd
import numpy as np
if __name__ == '__main__':
a = pd.DataFrame({'group': np.repeat('A', 500), 'value': np.random.normal(10, 5, 500)})
b = pd.DataFrame({'group': np.repeat('B', 500), 'value': np.random.normal(13, 1, 500)})
c = pd.DataFrame({'group': np.repeat('C', 500), 'value': np.random.normal(15, 2.1, 500)})
d = pd.DataFrame({'group': np.repeat('D', 20), 'value': np.random.normal(25, 4, 20)})
e = pd.DataFrame({'group': np.repeat('E', 100), 'value': np.random.uniform(12, size=100)})
df = a.append(b).append(c).append(d).append(e)
sns.boxplot(x='group', y='value', data=df)
plt.show()

728x90
'Data Science > Data Visualization' 카테고리의 다른 글
| [05. Etcetera Chart] 003. Histogram (0) | 2021.09.06 |
|---|---|
| [05. Etcetera Chart] 002. Scatter Plot (0) | 2021.09.06 |
| [04. Area Chart] 005. Ridgeline Plot (0) | 2021.08.21 |
| [04. Area Chart] 004. Stream Graph (0) | 2021.08.21 |
| [04. Area Chart] 003. Percentage Stacked Area Chart (0) | 2021.08.21 |